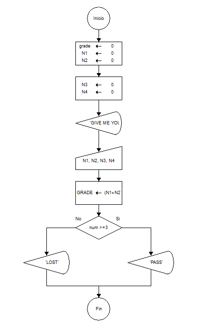
FLOWCHART

Is a graphic representation o a logic secuence , it has a begining and an end. It uses geometric chapes and arrows to define relationships.
NOTE 1: the begining and the end are represented by an oval, a process in represented by a rectangle, a decision is represented by a diamond and imput or output is represented by a parallelogram and finaly the internet is represented by cloud.
NOTE 2: Cycle is used to do a repetition of instruction a determined number of times